欢迎来到羊羊100官网!
400-619-9160
首页
羊羊100
品牌简介
质量控制
资质荣誉
人才招聘
产品家族
羊羊宜贝
宜贝儿绵羊奶
儿童羊奶粉
儿童牛奶粉
中老年奶粉
新闻资讯
品牌动态
羊奶资讯
活动专栏
质检报告
羊奶知识
婴幼儿羊奶粉
宝宝羊奶粉
配方羊奶粉
羊奶粉排行
羊奶粉品牌
儿童羊奶粉
什么牌子羊奶粉最好
羊奶粉排行榜10强
百分爱
妈妈说
百分爱公益
招商代理
招商手册
联系我们
品牌动态
羊奶资讯
活动专栏
质检报告
首页
>
新闻资讯
>
质检报告
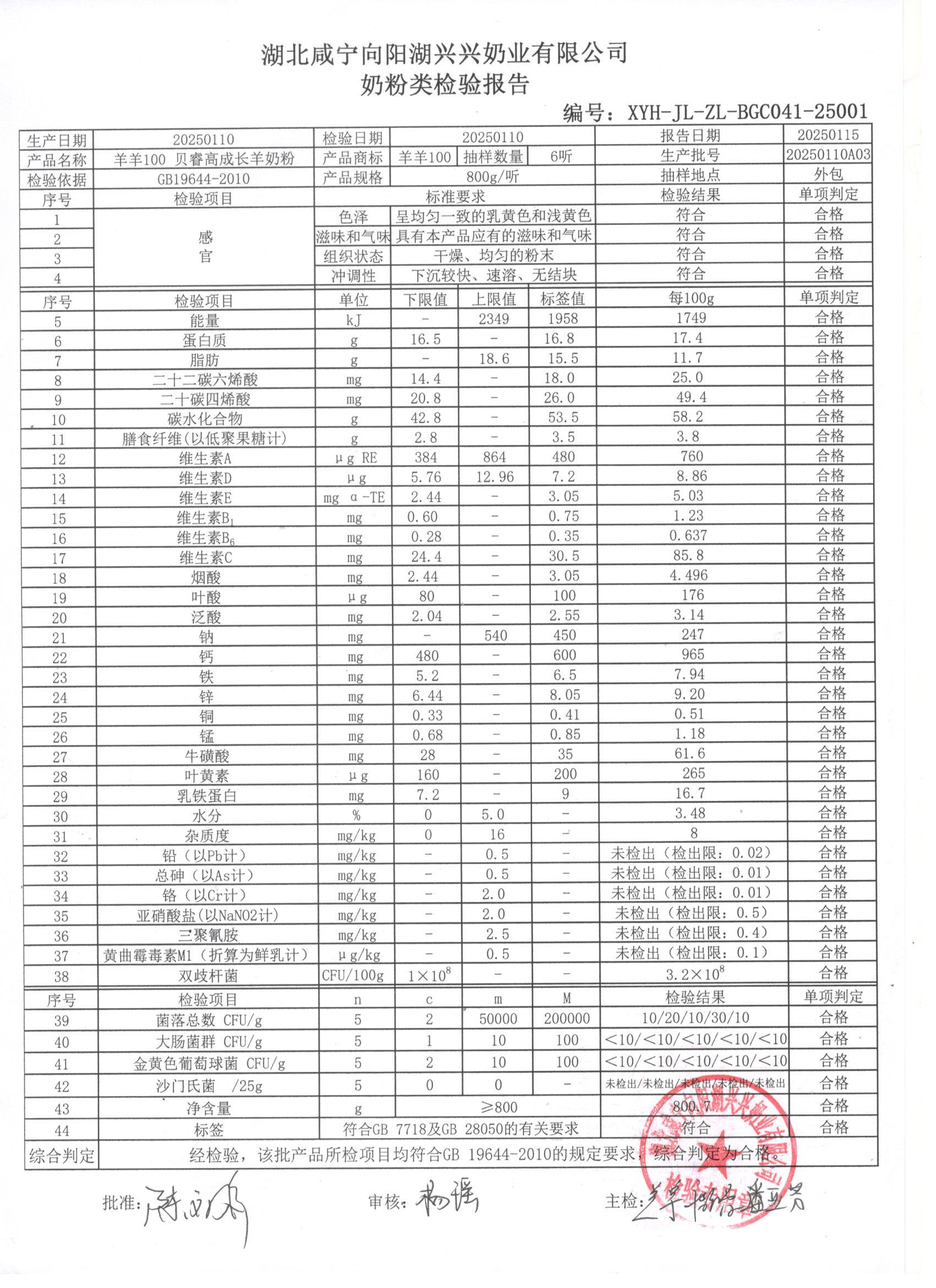
>20250110A03 羊羊100贝睿高成长羊奶粉800g
20250110A03 羊羊100贝睿高成长羊奶粉800g
发布时间:2025-02-19 18:37:00 点击:
返回上一级
分享:
上一篇:
20250109A01 羊羊宜贝婴儿配方羊奶粉800g
下一篇:
20250110A04 羊羊怡畅中老年高钙富硒羊奶粉700g
羊奶粉
羊奶粉哪个牌子好
羊奶粉价格
羊奶粉怎么样
配方羊奶粉
婴幼儿羊奶粉
羊奶粉哪款好吸收
什么牌子的羊奶粉最好
关于羊羊100
品牌介绍
质量控制
荣誉资质
人才招聘
配方羊奶粉系列
婴儿配方羊奶粉
儿童配方羊奶粉
孕妇配方羊奶粉
中老年人羊奶粉
新闻与活动
公司动态
羊奶资讯
活动专栏
质检报告
羊奶知识
婴幼儿羊奶粉
宝宝羊奶粉
配方羊奶粉
羊奶粉排行
羊奶粉品牌
联系我们
联系方式
人才招聘
电话:400-619-9160
邮箱:swizer@126.com
Copyright © 2010-2019 All Rights Reserved 羊羊100羊奶粉 电 话:400-619-9160
备案号:湘ICP备19002175号-2
鲁公网安备 37020302371468号